Publications
Transaminase-Triggered Synthesis of 2,5-Disubstituted Pyrrolidines
Martin, A., Kennedy, L., Solanki, I., Fleming, P., Bruno-Colmenarez, J., Evans, P., Haarr, M.B., and O'Reilly, E., Organic & Biomolecular Chemistry, 2026, Accepted Manuscript
Transaminase‐Triggered Cascades for the Synthesis and Dynamic Kinetic Resolution of Chiral N‐Heterocycles.
O'Connell, A., Haarr, M.B., Ryan, J., Xu, X., Martin, A., Smith, S.N., Elghobashi‐Meinhardt, N., Fleming, P., Maciá, B., Caprio, V. and O'Reilly, E. Angewandte Chemie International Edition, 2025, 64, e202422584.
A Biocatalytic Cascade for the Valorization of Sugars.
Yeow, K., Martin, A., Muldoon, J., Haarr, M.B. and O'Reilly, E. ChemCatChem, 2025, 17, e202500110.
Commercial transaminases for the asymmetric synthesis of bulky amines.
Haarr, M. B., Sriwong, K. T., & O'Reilly, E. European Journal of Organic Chemistry, 2024, 27, e202400257.
Enzyme‐Triggered Reactions for the Synthesis of Organic Molecules.
Martin, A., Solanki, I., Haarr, M. B., & O'Reilly, E. European Journal of Organic Chemistry, 2023, 26, e202300858.
Hijacking a P450 for ketone synthesis.
O'Reilly, E., & Haarr, M. B. Nature Catalysis, 2023, 6, 561-562.
Preparation of iminosugars from aminopolyols via selective oxidation using galactose oxidase.
Yeow, K., Haarr, M. B., Muldoon, J., & O'Reilly, E. Chemical Communications, 2022, 58, 13640-13643.
Functionalized d- and l-Arabino-Pyrrolidines as Potent and Selective Glycosidase Inhibitors.
Haarr, M. B., Lopéz, Ó., Fernández-Bolaños, J. G., Lindbäck, E., & Sydnes, M. O. Synthesis, 2022, 54, 2916-2926.

Synthesis of the hexahydropyrrolo-[3, 2-c]-quinoline core structure and strategies for further elaboration to martinelline, martinellic acid, incargranine B, and seneciobipyrrolidine.
Haarr, M. B., & Sydnes, M. O. Molecules, 2021, 26(2), 341.
1, 4-dideoxy-1, 4-imino-D-arabinitol (DAB) analogues possessing a hydrazide imide moiety as potent and selective α-mannosidase inhibitors.
Haarr, M. B., Lopez, O., Pejov, L., Fernandez-Bolanos, J. G., Lindback, E., & Sydnes, M. O. ACS omega, 2020, 5, 18507-18514.
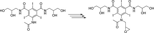
Synthesis of an Alleged Byproduct Precursor in Iodixanol Preparation.
Haarr, M. B., Lindbäck, E., Håland, T., & Sydnes, M. O. ACS omega, 2018, 3, 7344-7349.









